
Самодельное огнестрельное оружие должно отвечать требованиям, предъявляемым к огнестрельному оружию вообще, то есть иметь все присущие ему основные части (ствол, запирающее и воспламеняющее устройства) и удовлетворять критериям огнестрельности, оружейности и надежности.
Критерий огнестрельности предполагает использование для метания снаряда силы давления газов, образовавшихся при сгорании пороха или его заменителей (зажигательной спичечной массы, бензовоздушной смеси и пр.).
Критерий оружейности предполагает конкретное целевое назначение - поражение цели и достаточную поражающую способность, определение которой при исследовании самодельного оружия играет существенную роль. Понятие поражающей способности многогранно, поэтому ее оценка во многом носит субъективный характер. Вопросы действия снаряда на биологические объекты рассматриваются в специальном разделе баллистики - раневая баллистика. В судебной медицине различают пробивное, разрывное, ушибающее, дробящее и гидродинамическое действие пули.
В криминалистике же принято поражающую способность оружия оценивать по способности пули, выстреленной из этого оружия, причинять проникающее повреждение телу человека.
Способность пули наносить проникающие повреждения зависит от ряда факторов: кинетической энергии пули, ее конструкции, формы головной части и площади поперечного сечения.
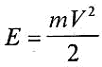
Кинетическая энергия пули - Е{Дж) определяется скоростью ее полета - V(м/с) и массой - m(кг) и вычисляется по формуле:

Для пересчета значения кинетической энергии, измеренной в джоулях (Дж), в значение энергии, измеренной в кГм (единица измерения энергии, встречающаяся в литературе), достаточно полученное по этой формуле число поделить на 10. Нанести проникающее повреждение телу человека пуля может, если обладает кинетической энергией больше некоторого значения. Именно это значение кинетической энергии пули на границе возможности поражения человека и представляет интерес для решения криминалистических задач. Эта величина носит название минимальной кинетической энергии. Минимальная кинетическая энергия для стандартных пуль различного калибра, как показали эксперименты А.И. Устинова при стрельбе по трупным материалам, имеет следующие значения: 5,6 мм - 11 Дж; 6,35 мм - 16 Дж; 7,62 мм - 27 Дж; 9 мм - 30 Дж.
При этом было установлено, что пули этих калибров, обладая скоростью 100м/с, заведомо способны нанести проникающее повреждение телу человека.
Следует иметь в виду, что в военном деле под поражающей способностью понимают не причинение проникающего повреждения, а безусловный вывод человека из строя и поэтому оперируют гораздо большими значениями необходимой для поражения человека минимальной кинетической энергии пули (для винтовочных патронов 7,62 мм указывается значение кинетической энергии 80 Дж, обеспечивающее безусловный вывод человека из строя).
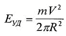
Очевидно, что при одинаковой кинетической энергии способность нанести проникающее повреждение человеку больше у пули с меньшей площадью поперечного сечения. Поэтому для оценки поражающей способности оружия различного калибра было предложено (Л.Ф.Саврань, 1979) использовать в качестве единого критерия значение удельной кинетической энергии пули.
Удельная кинетическая энергия Еуд(Дж/см2) определяется как отношение кинетической энергии пули к площади поперечного сечения ее ведущей части: Eyд=E/S, где S=пR2, R (см) - радиус ведущей части пули, п = 3,14.
По сделанным оценкам пули патронов калибра от 5,6 мм до 9 мм при скорости 100 м/с имеют удельную кинетическую энергию в интервале от 40 Дж/см2 до 60 Дж/см2, поэтому за минимальное значение удельной кинетической энергии, соответствующее границе поражения человека, в криминалистике принято среднее значение из этого интервала 50 Дж/см2 или 0,05 кГм/мм2. По данным судебной медицины при выстреле в средние отделы груди снаряд с удельной кинетической энергией 6-8 Дж/см2 причиняет ссадины; 14-17 Дж/см2 - поверхностные раны; 32-36 Дж/см2 - непроникающее ранение грудной клетки с переломами грудины; 54-60 Дж/см2 - проникающие ранения грудной клетки; 135-145 Дж/см2 - проникающие ранения грудной клетки с повреждениями ее задней стенки.
При невозможности измерить каким-либо способом скорость пули и, следовательно, определить ее удельную кинетическую энергию, поражающую способность оценивают примитивным методом - по результатам стрельбы в пакет сухих сосновых досок. Поражающая способность считается достаточной, если пуля внедряется в мишень на глубину порядка своей длины.
Здесь уместно напомнить, что при решении вопроса об относимости самодельных патронов к категории боеприпасов аналогичным образом оценивается и поражающее действие пули. Самодельный патрон признается боеприпасом, если значение удельной кинетической энергии пули составляет не менее 50 Дж/см2.
Критерий надежности по отношению к самодельному оружию факультативный и не является существенным при отнесении объекта к категории огнестрельного оружия.
Таким образом, для признания самодельного стреляющего устройства огнестрельным оружием оно должно иметь ствол или элемент, его заменяющий, воспламеняющее и запирающее устройства, а также необходимую поражающую способность.
В отличие от самодельных объектов для отнесения к категории огнестрельного оружия объектов заводского изготовления достаточно только наличия трех основных частей - ствола, запирающего и воспламеняющего устройств. При этом неважно, пригодно ли исследуемое оружие к стрельбе или нет.
В отношении самодельных стреляющих устройств решаются в основном вопросы, связанные с установлением их групповой принадлежности, а именно, относится ли представленный на экспертизу предмет к категории огнестрельного оружия. В связи с необходимостью определения для этого поражающей способности оружия, решение указанного вопроса неразрывно связано с вопросом о пригодности исследуемого оружия к стрельбе. Следует подчеркнуть, что вопрос об исправности в отношении самодельного оружия может быть решен только в отношении отдельных (непеределанных) узлов заводского изготовления переделанного оружия, а не самодельного оружия в целом.
На этапе предварительного исследования знакомятся с обстоятельствами дела, уясняют вопросы, поставленные на разрешение, исследуют упаковку, устанавливают соответствие объекта с его описанием в постановлении, убеждаются в том, что оружие не заряжено. При необходимости его разряжают. Фиксируют положение деталей ударно-спускового механизма (взведен - не взведен), а также выясняют, не изъяты ли с данным оружием патроны.
Детальное исследование начинается с анализа материальной части объекта.
При этом устанавливают:
- наличие ствола (канала) и его конструктивные особенности (сквозной, слепой, нарезной, с затравочным отверстием и т.д.), его размеры и предположительно материал;
- наличие запирающего устройства и способ запирания карала ствола, например, закрыт наглухо ковкой или запирается специальной деталью, в частности, затвором, курком, ударником, щитком колодки, рамкой и т.д.;
- наличие воспламеняющего устройства и его тип (фитильный, ударниковый и т.д.);
- назначение, материал и размеры иных деталей и частей;
- тип оружия по способу заряжания (дульнозарядное, казнозарядное, комбинированное);
- тип патрона, под который изготовлено устройство;
- способ изготовления отдельных частей и оружия в целом (из анализа качества обработки поверхностей, используемого материала, маркировок, конструкции).
Результаты этого этапа исследования отражаются в заключении эксперта в форме описания. В описании должно найти отражение два аспекта:
- индивидуализация объекта;
- анализ его материальной части на предмет наличия основных частей, присущих огнестрельному оружию.
Поскольку маркировка на самодельном оружии, как правило, отсутствует, то для индивидуализации объекта обращается внимание на характерные признаки именно этого предмета, отличающие его от всех остальных. Указываются общие линейные, весовые данные, цвет, материал, наличие рисунков, надписей и пр.
Следует отметить, что если форма объекта соответствует какому-либо типу известного огнестрельного оружия, эксперт при описании конструктивных особенностей вправе использовать терминологию, например, рамка, рукоятка, барабан, спусковая скоба и др.
Далее эксперт устанавливает порядок взаимодействия деталей и узлов, при этом в исключительных случаях допускается частичная разборка, например, в целях удаления грязи и посторонних предметов, но обязательно без нарушения целостности конструкции.
Из анализа конструкции, наличия определенных деталей и порядка их взаимодействия делается вывод о целевом назначении предмета. Если установлено, что его целевое назначение не связано с производством выстрелов, то экспертное исследование на этом заканчивается и дается вывод о том, что предмет не является огнестрельным оружием. В противном случае эксперт при необходимости переходит к этапу сравнительного исследования.
На этапе сравнительного исследования окончательно устанавливается, какому типу огнестрельного оружия заводского изготовления соответствует исследуемый объект. Если объект исследования не содержит определяющих признаков, характерных для известных типов оружия, но имеет основные элементы огнестрельного оружия, то он классифицируется как атипичное стреляющее устройство.
Затем эксперт приступает к такой важной стадии исследования, как экспертный эксперимент. Цели экспертного эксперимента:
- проверить взаимодействие частей и механизмов;
- выяснить все возможные способы заряжания;
- выяснить приемы стрельбы;
- выяснить пригодность к стрельбе;
- определить поражающую способность.
Для проверки взаимодействия частей и выяснения специальных приемов стрельбы производится серия выстрелов с использованием гильз, снаряженных капсюлями. При наличии дефектов, препятствующих проведению такой стрельбы, допускается, учитывая конкретные обстоятельства, приведение оружия в состояние, пригодное к стрельбе.
Окончательное выяснение пригодности к стрельбе и определение поражающей способности оружия происходит при стрельбе соответствующими боевыми патронами. Следует отметить, что для самодельного оружия, в отличие от заводского, не вводится различных форм пригодности к стрельбе. Поражающая способность определяется по величине удельной кинетической энергии пули вблизи дульного среза. Для этого измеряется начальная скорость пули и, зная ее массу и диаметр ведущей части, рассчитывается удельная кинетическая энергия по формуле:

При экспериментальной стрельбе дробовым снарядом при вычислении удельной кинетической энергии в качестве площади поперечного сечения берется площадь сечения канала ствола, а не площадь сечения отдельной дробины или картечины. Это связано с тем, что кинетическая энергия определяется вблизи дульного среза, где дробовой сноп движется как моноснаряд.
Эксперимент по выяснению поражающей способности дульнозарядного оружия имеет некоторую особенность, которая связана с тем, что эксперту изначально не известна масса метательного вещества, масса снаряда и условия заряжания (плотность заряжания, тип пыжа, калибр снаряда). От этих факторов будет, естественно, зависеть кинетическая энергия, приобретаемая снарядом. Поэтому рекомендуется поступать следующим образом. Исходя из диаметра и длины канала ствола, выбирают стандартный боеприпас соответствующего калибра. Разряжают его и берут третью часть порохового заряда, с которой и начинают экспериментальную стрельбу. В качестве снаряда можно использовать стандартную пулю (дробину, картечину) соответствующего диаметра. Если при этом снаряд не получает кинетической энергии, необходимой для поражения, то увеличивают пороховой заряд и повторяют стрельбу. Эксперименты проводят до тех пор, пока либо энергия снаряда не станет больше энергии на границе поражения, либо не произойдет разрушение оружия.
Когда состояние исследуемого объекта не позволяет произвести экспериментальную стрельбу без внесения изменений в его конструкцию, вывод эксперта формулируется только на основе анализа материальной части. Поскольку поражающие свойства объекта остаются невыясненными, эксперт либо не признает данный объект огнестрельным оружием, либо вправе отказаться от вывода по существу.
Если полученное в эксперименте значение удельной кинетической энергии оказывается существенно меньше величины 50 Дж/см2, то основываясь на недостаточной поражающей способности снаряда, исследуемый объект не признается огнестрельным оружием. В противном случае, исходя из наличия основных частей, присущих огнестрельному оружию, которые определяют его целевое назначение, возможности его использования по этому назначению и достаточной поражающей способности, эксперт должен отнести исследуемый объект к категории огнестрельного оружия.
Для определения скорости полета пули, знание которой необходимо для расчета кинетической энергии, могут использоваться различные методы и устройства.
Этот метод основывается на физическом законе сохранения суммарного импульса системы тел при их соударениях.

1-подвес; 2-маятник.
Баллистический маятник представляет собой массивное тело, укрепленное на подвесе (рис. 1). Движущаяся пуля, попадая в неподвижный маятник, вызывает его колебания. Зная массу пули - m, массу маятника - М и максимальную величину подъема центра тяжести маятника - h, можно рассчитать скорость пули V в момент соударения ее с маятником по формуле:

где g =9,8м/с2 - ускорение свободного падения.
Идея измерения скорости пуль с помощью баллистического маятника была впервые применена в 1707 году, однако, этот метод до настоящего времени с успехом применяется на практике.
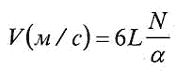
Одна из конструкций механического хронографа представляет собой два диска, закрепленных на одной вращающейся оси (рис. 5.9). Диски можно изготовить, например, из плотной бумаги и разместить на оси электромотора. При выстреле пуля пробивает сначала первый диск, затем второй. Время движения пули между дисками определяют по величине угла а, на который сместится пулевая пробоина на втором диске относительно пробоины на первом диске. Зная расстояние между дисками и их скорость вращения, скорость полета пули можно вычислить по формуле:

где L - расстояние между дисками, измеренное в метрах; N - число оборотов оси с дисками в минуту; а - угол в градусах между пулевыми пробоинами.
Чем больше скорость вращения дисков, тем выше точность измерения скорости пули.

1-электромотор; 2-диски.
Измерение скорости полета пули с помощью электронных миллисекундомеров основано на непосредственном измерении времени, за которое пуля проходит определенное расстояние между двумя датчиками. При пролете пули через датчики первый датчик запускает миллисекунодомер, а второй - останавливает.
Датчики могут быть выполнены в различных вариантах: .
- рамки с проволокой, которая разрывается пулей, - тем самым разрывается электрическая цепь миллисекундомера;
- электромагнитные датчики в виде соленоида, в которых наводится ЭДС самоиндукции при прохождении их пулей;
- оптоэлектронные датчики, которые запускают отсчет времени при пересечении пулей светового луча (рис. 3).

1 и 2 - рамки с блоками оптоэлектронных датчиков.
Электронные миллисекундомеры представляют собой электронные схемы на основе высокоточных генераторов и счетчиков импульсов. Установки подобного типа снабжаются жидкокристаллическими или газоразрядными индикаторами, на которые выводится время пролета или непосредственно скорость полета пули.