
Определение дистанции и направления выстрела позволяет установить такой важный момент в обстоятельствах происшествия, как место производства выстрела (местоположение стрелявшего).
Первым этапом в определении дистанции выстрела является выяснение типа выстрела: близкий или дальний.
Факт близкого выстрела устанавливается по наличию на преграде следов воздействия дополнительных факторов выстрела. При этом необходимо принимать во внимание, что по сравнению со всеми другими факторами близкого выстрела несгоревшие пороховые зерна и их остатки могут оказывать воздействие на преграду на наибольшем расстоянии от оружия. Это расстояние определяет верхнюю границу близкого выстрела. Для большинства видов огнестрельного оружия, рассчитанного под патроны с бездымным порохом, верхняя граница не превышает 1,5—2 м, а для охотничьих ружей при использовании дымного пороха может достигать 3 м.
Дальнейшее уточнение дистанции близкого выстрела основано на зависимости наличия, характера, степени выраженности следов действия дополнительных факторов выстрела от расстояния между дульным срезом и преградой.
Условно всю дистанцию действия дополнительных факторов выстрела можно разделить на три зоны, протяженность которых зависит от вида оружия и применяемых патронов (рис. 1).

Протяженность первой зоны определяется расстоянием, на котором еще сохраняется механическое действие газов, и может составлять 3—5 см. В пределах этой зоны проявляется действие практически всех дополнительных факторов выстрела. К выстрелам с таким расстоянием до преграды относятся выстрел в упор и выстрел с очень близкого расстояния. Следует отметить, что при выстреле в упор из оружия без дульных насадок основная доля копоти выстрела увлекается пороховыми газами в повреждение, поэтому площадь зоны окопчения может быть незначительной.
Увеличение расстояния между дульным срезом оружия и преградой в пределах первой зоны даже на доли сантиметра заметно влияет на морфологию повреждения.
Вторая зона характеризуется механическим действием зерен пороха в сочетании с отложением копоти и металлических частиц. Протяженность второй зоны — от 3—5 до 25—30 см.
В третьей зоне обнаруживаются только отложившиеся пороховые зерна или следы их удара.
В каждой зоне выраженность следов дополнительных факторов уменьшается от начала зоны к концу, а площадь их возможного обнаружения на преграде растет.
Для ориентировочного суждения о расстоянии близкого выстрела необходимо пользоваться таблицами, составленными на основе экспериментов для отдельных видов оружия. Эти таблицы содержат сведения о предельных дистанциях действия факторов близкого выстрела для различных типов и моделей оружия в зависимости от материала преграды. Так, например, предельная дистанция, на которой может наблюдаться опаление хлопчатобумажной ткани при стрельбе, из пистолета ПМ составляет 5 см, а при выстреле из охотничьего ружья 12 калибра — 30 см.
Более точное определение дистанции выстрела для конкретного экземпляра оружия возможно экспериментальным путем с учетом всех условий выстрела на месте происшествия:
— состояние оружия;
— тип патрона;
— физико-химические свойства преграды;
— метеоусловия и пр.
Для определения направления близкого выстрела необходимо установить, во-первых, сторону преграды, с которой был произведен выстрел; во-вторых, угол, под которым снаряд вошел в преграду.
Для близкого выстрела сторона, с которой был произведен выстрел в преграду, определяется по наличию на этой стороне преграды следов дополнительных факторов выстрела (копоти, частиц пороха и др.). Однако нужно иметь в виду, что при многослойных преградах копоть может откладываться и на оборотной стороне преграды. Поэтому в данном случае при установлении стороны, с которой был произведен выстрел, нужно учитывать интенсивность окопчения, которая, естественно, будет больше с лицевой стороны.
Угол, под которым снаряд вошел в преграду при близком выстреле, может быть установлен по форме зоны окопчения, форме зоны отложения несгоревших частиц пороха, по форме пулевой пробоины и пояска обтирания, а также направлению пулевого канала.
При выстреле из оружия без каких-либо дульных насадок газовая взвесь, истекающая из канала ствола, имеет в пространстве форму конуса с вершиной, обращенной к дульному срезу. Если выстрел производился под прямым углом к преграде, то формы зоны окопчения и зоны отложения частиц пороха представляют собой круги с пулевой пробоиной или участком «минус ткань» в центре. Диаметры зон зависят от дистанции выстрела: при увеличении дистанции диаметры увеличиваются. При выстреле под углом меньше 90 градусов указанные зоны имеют форму неправильного овала, при этом пулевая пробоина расположена в той части овала, которая ближе к месту производства выстрела. При наличии на оружии дульных насадок для ответа на вопрос об угле выстрела эксперту необходимы справочные данные о форме зон окопчения и отложения частиц пороха для различных конструкций дульных насадок в зависимости от угла выстрела.
При выстреле под углом пулевая пробоина и поясок обтирания имеют форму эллипса. Для приблизительного определения угла выстрела в плоскую преграду по форме пулевого отверстия или форме пояска обтирания можно пользоваться следующей формулой:
ugol=arcsin d/D
где d — длина малой оси, D — длина большой оси эллипса.
Следует отметить, что этой же формулой можно воспользоваться и для приблизительной оценки угла выстрела по размерам зоны окопчения.

Определение дистанции и направления дальнего выстрела, то есть выстрела за пределами действия дополнительных факторов, сложная экспертная задача.
Сторона преграды, с которой был произведен дальний выстрел, в зависимости от ее материала может быть определена по наличию пояска обтирания, направлению волокон в пулевой пробоине, соотношению диаметров пулевых пробоин на сторонах преграды, положению частиц материала, выбитых из преграды, и пр. Например, пулевая пробоина в стекле имеет вид воронки, расширяющейся к выходному отверстию, выходное отверстие в дереве характеризуется отщипами и отколами.
Угол, под которым снаряд вошел в преграду при дальнем выстреле, может быть определен по форме входного отверстия, форме пояска обтирания или непосредственно по направлению пулевого канала. Кроме этого, на выстрел под углом к преграде может указывать неодинаковая длина трещин вокруг пулевой пробоины в таких преградах, как стекло, кафель, кость (в направлении полета пули трещины имеют большую протяженность).
Для определения места дальнего выстрела существует несколько способов, выбор которых зависит от вида пулевого повреждения, условий выстрела, характера местности, где случилось происшествие, и пр.
Этот способ позволяет установить наиболее вероятное место расположения стрелявшего при условии прямой (или близкой к прямой) траектории полета пули, нанесшей повреждение. При этом надо учитывать, что место выстрела может быть не обязательно у конечной точки визирования, но и у любой другой точки на этой прямой в пределах роста человека или высоты предмета, на котором мог размещаться стрелок. Существует несколько методов непосредственного визирования:

Этот способ применяется, если поражение цели произошло пулей, летящей по навесной траектории, на что указывает направление линии визирования, проходящей снизу-вверх и выше предметов местности, с которых мог быть сделан выстрел.
Для ориентировочного определения места положения стрелявшего координаты поврежденного объекта переносят на карту местности, затем из этой точки проводят азимут траектории. Азимут траектории устанавливается на месте происшествия с помощью компаса, как угол между меридианом, проходящим через повреждение, и вертикальной плоскостью, в которой лежит траектория пули.
Для выяснения дальности полета пули решается задача внешней баллистики по расчету дистанции выстрела по известной начальной скорости пули и углу падения или пользуются уже рассчитанными таблицами. При этом угол падения пули определяется по направлению пулевого канала к горизонту, а начальная скорость пули — по таблицам характеристик оружия, модель которого устанавливается из анализа следов на пуле. Для установления участка местности, с которой был произведен выстрел, рассчитанная дальность в соответствующем масштабе откладывается на карте в направлении, задаваемом азимутом траектории.
Применение этого способа ограничено случаем, когда материал преграды однороден, сохраняет глубину и направление пулевого канала. Кроме того, форма пулевого канала должна указывать на то, что пуля не меняла ориентацию, не была существенно деформирована и не кувыркалась.
Глубина проникновения пули в преграду при прочих равных условиях (модель применяемого оружия, конструкция и начальная скорость пули, свойства материала и пр.) зависит от дистанции выстрела. Поэтому по известной глубине пулевого канала с помощью приведенных в справочной литературе графиков, построенных на основе экспериментальных данных, можно ориентировочно судить о дистанции выстрела. Так, при стрельбе из ПМ в гипсолитовую плиту канал глубиной 55мм образуется с расстояния 10м, а глубиной 45мм — с расстояния 50м. В древесине глубина канала для той же модели оружия и расстояний составляет соответственно 80мм и 60мм.
Вопрос о последовательности выстрелов — один из самых сложных и обычно решается в вероятностной форме. На последовательность выстрелов могут указывать:
— характер радиальных трещин вблизи пулевых пробоин в таких объектах, как стекло, кафель, кость и т.п. Радиальные трещины от последующих выстрелов заканчиваются на аналогичных трещинах предыдущих выстрелов. Последний из последовательности выстрелов по стеклу может быть также установлен по наличию мелких порошкообразных частиц стекла вокруг пулевой пробоины;
— интенсивность отложения пояска обтирания. Например, при стрельбе из вычищенного оружия интенсивность окраски пояска обтирания при первом выстреле намного меньше, чем при последующих выстрелах. Это объясняется тем, что пули второго и последующих выстрелов проходят по уже оконченному стволу и собирают на свою поверхность больше продуктов выстрела, которые затем откладываются на преграде;
— наличие следов ружейной смазки. Отложение ружейной смазки вокруг пулевого повреждения выявляется практически только при первом после чистки оружия выстреле;
— характер следов полей нарезов на пуле. Если ствол имеет достаточно толстый слой смазки, то из-за эффекта «масляного клина» на первой выстреленной пуле следы полей нарезов будут менее интенсивны, чем на второй и последующих пулях;
— очередность отстрела гильз. В этом случае очередность выстрелов устанавливается по расположению гильз на месте происшествия с последующим определением взаимного соответствия стреляных гильз и выстреленных пуль;
— расположение гильз в барабане револьвера при условии, что положение барабана не изменялось;
— характер расположения пробоин при стрельбе очередями из автоматов и пистолетов-пулеметов. Так, например, при стрельбе из АКМ пробоины от первых пуль расположены ближе друг к другу и обычно пробоины от последующих выстрелов располагаются правее и выше, чем от предыдущих.
Количество выстрелов из оружия может быть установлено:
— по числу пулевых пробоин;
— по числу обнаруженных на месте происшествия гильз и пуль после их последовательного сопоставления.
Для гладкоствольного охотничьего оружия количество выстрелов может быть определено подсчетом дробовых повреждений, входящих в осыпь, с последующим сравнением этого количества со справочными данными по охотничьим патронам.
Кроме того, на число выстрелов может указывать степень окопчения деталей и частей оружия, таких как поршень затворной рамы, ствольная коробка и пр.
Применяемые в гладкоствольном оружии патроны, при снаряжении которых используются различного вида пыжи и прокладки, а в качестве снаряда дробь, обусловливают некоторые особенности в следах близкого и дальнего выстрела. Эти особенности связаны с выбросом из канала ствола во время выстрела пыжей и своеобразным действием на преграду дробового полиснаряда.
В зависимости от степени рассеивания при полете дробового снаряда он может оказывать на преграду три вида механического воздействия: сплошное, или компактное, относительно сплошное и воздействие дробовой сыпи.
Сплошное действие дроби наблюдается при выстрелах с дистанции до 0,5—1 м, когда дробовой снаряд еще не успел рассыпаться в полете и действует как единый. При этом повреждения на преграде представляют собой одно отверстие круглой или овальной формы, диаметр которого зависит от калибра ружья, дистанции, и может достигать 4см.
Относительно сплошное действие дроби проявляется при выстрелах с дистанции от 0,5—1 до 2—5 м, когда в полете начинает проявляться процесс рассеивания дробового снаряда. При этом повреждение на преграде представляет собой относительно большое центральное отверстие, образованное кучно летящими дробинами и пыжом, и находящиеся вокруг него мелкие отверстия от отдельных дробин.
Воздействие дробовой сыпи проявляется при выстрелах с расстояния более 5 м. В этом случае на преграде не образуется большого центрального отверстия, а возникают только множественные мелкие повреждения, занимающие в зависимости от дистанции ту или иную площадь. Такое повреждение носит название дробовой осыпи.
Приведенные данные о дистанциях различного действия дробового снаряда справедливы для выстрелов из охотничьих ружей нормально снаряженными патронами. При выстрелах из обрезов или в случае прорыва газов в дробовой заряд, а также при использовании самодельной дроби — «сечки» сплошное действие снаряда наблюдается только на расстоянии до 20 см.
Вылетевшие пыжи как еще один фактор выстрела могут оказывать на преграду механическое воздействие, приводящее к дополнительным сквозным повреждениям материала преграды или внедрению в нее пыжей. Кроме того, они могут оставлять на преграде переносимую ими копоть и отдельные зерна пороха.
Предельная дистанция полета для войлочных пыжей составляет до 50 м, для картонных пыжей-прокладок — до 15 м, самодельных пыжей из скомканной бумаги - до 10 м.
При сплошном действии дроби пыжи обычно влетают в повреждение, при относительно сплошном действии — могут способствовать образованию центрального отверстия. Вместе с тем пыжи при полете могут отклоняться в сторону и оставлять на преграде свои собственные следы.
При установлении направления и дистанции близкого выстрела из гладкоствольного оружия используются те же закономерности в образовании следов действия дополнительных факторов выстрела, что и при стрельбе из нарезного оружия. Однако при установлении факта близкого выстрела из охотничьего ружья необходимо иметь в виду, что наличие на преграде единичных зерен пороха не может выступать доказательством близкого выстрела, так как возможен их перенос пыжами на расстояние до 15 м. В то же время дополнительным признаком близкого выстрела из охотничьего ружья может служить сплошное действие дроби.
В основу определения дистанции дальнего выстрела из охотничьего ружья положена зависимость, существующая между дистанцией выстрела и размерами дробовой осыпи на преграде: чем больше дистанция при прочих равных условиях, тем больше размеры осыпи. В зависимости от исходной информации дистанция выстрела может быть определена экспериментальной стрельбой или по справочным таблицам и графикам.
Эксперимент применяется в ситуации, когда на исследование поступает оружие, относительно которого и задан вопрос о дистанции выстрела. В этом случае, проводя серию экспериментальных выстрелов из оружия, получают набор дробовых осыпей для нескольких фиксированных расстояний L. Затем для каждого расстояния определяют диаметр максимальной осыпи Dmax и диаметр минимальной осыпи Dmin. Построив графики зависимостей Dmax(L) и Dmin(L), по известному диаметру осыпи дроби с места происшествия Dii определяют максимально Lmax и минимально Lmin возможные дистанции выстрела (рис. 4). При проведении эксперимента следует иметь в виду, что размеры дробовой осыпи зависят не только от дистанции, но и от большого числа других факторов, которые связаны с конструкцией оружия, снаряжением патронов и метеоусловиями выстрела. Например, диаметр дробовой осыпи увеличивается при:
— уменьшении длины ствола оружия;
— уменьшении величины дульного сужения ствола (для средней и мелкой дроби);
— использовании перфорированных и жестких пыжей;
— неплотном снаряжении патрона;
— использовании дымного пороха;
— использовании мелкой дроби;
— встречном ветре.

Поэтому для уменьшения ошибки в определении дистанции условия экспериментальной стрельбы должны соответствовать условиям криминального выстрела, устанавливаемым из обстоятельств дела.
В тех случаях, когда оружие не представлено, но его модель и калибр установлены в процессе исследования повреждения и дроби, дистанцию выстрела ориентировочно определяют по таблицам и графикам, содержащим зависимости диаметра полной осыпи дроби от расстояния выстрела для различных размеров дроби и типов пороха.
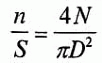
Если исследуемая осыпь является неполной, то есть образована только частью (не менее 1/3) дробового снаряда, для определения дистанции необходимо предварительно вычислить диаметр полной осыпи. В приближении равномерного распределения дробин в осыпи диаметр полной осыпи можно оценить из условия равенства плотности распределения дробин в полной и неполной осыпи:

где n — число дробин в неполной осыпи; S — площадь неполной осыпи; N — табличное значение количества дробин в стандартно заряженном патроне соответствующего калибра; D - искомый диаметр полной осыпи дроби.
Определить направление выстрела, а в некоторых случаях и оценить местоположение стрелявшего, можно при наличии достаточно глубоких дробовых каналов на преграде. Для этого в несколько каналов в различных частях осыпи дроби помещаются относительно длинные зонды соответствующего диаметра. Точка, в которой пересекутся продолжения зондов, приблизительно укажет место выстрела.
При исследовании повреждений, в первую очередь, необходимо убедиться, что оно действительно является огнестрельным. В принципе вопрос об огнестрельном происхождении повреждения решается по совокупности морфологических признаков, характерных для повреждающего действия различных факторов выстрела: наличию «минус ткани», снаряда в канале, пояска обтирания и следов близкого выстрела.
Для обнаружения следов близкого выстрела и пояска обтирания применяются различные методы.
Осмотр и фотографирование в ИК-лучах позволяет выявить следы действия дополнительных факторов выстрела, например, на темной ткани, ткани, залитой кровью или загрязненной, и пр. Это связано с тем, что ИК-излучение проникает через слой засохшей крови и многие красители, отражается от кожи и текстильных тканей, но в то же время поглощается различными металлами и углеродом.
Осмотр в отраженных ИК-лучах проводится с помощью электронно-оптических преобразователей при освещении объекта лампами накаливания через соответствующие фильтры. Копоть, зерна пороха, металлические частицы, поясок обтирания поглощают ИК-лучи и выглядят темно-серыми на светлом фоне окружающей ткани. Для фотографирования в ИК-лучах используются специальные негативные материалы, сенсибилизированные к ИК-зоне спектра.
Облучение объекта УФ-лучами способно вызывать его люминесценцию, длина волны которой зависит от свойств материала. Источниками УФ-излучения могут служить, например, ртутно-кварцевые лампы.
Минеральные масла, которые входят в ружейную смазку, под действием ультрафиолетовых лучей светятся ярким голубовато-белым цветом, а частицы осалки — желтовато-оранжевым.
Зерна бездымного пороха, в том числе и полусгоревшие, также способны люминесцировать в УФ-лучах. Степень и характер их люминесценции зависит от марки бездымного пороха. Дымный порох не люминесцирует в УФ-лучах.
Копоть выстрела в УФ-лучах выглядит бархатисто-черной, а опаленные участки текстильных тканей — буровато-оранжевыми на общем темном фоне.
Одним из основных признаков огнестрельного повреждения является отложение в области входного отверстия металлов, являющихся частью копоти выстрела. В копоти выстрела могут встречаться: ртуть, сурьма, олово как продукты разложения капсюльного состава; медь, цинк, никель, свинец, появляющиеся в результате истирания поверхности пули и вымывания пороховыми газами материала ее дна; железо как материал стенок канала ствола.
Для их обнаружения благодаря своей простоте и доступности в основном используется контактно-диффузный метод. Этот метод позволяет не только установить природу металлов, но и их топографическое распределение.
Суть контактно-диффузного метода в следующем. Часть металлов с поверхности объекта переносится на адсорбент, где и обнаруживается с помощью реактивов-проявителей, дающих в результате взаимодействия с металлами характерную окраску. В качестве адсорбента, как правило, используется желатиновый слой заранее отфиксированной фотобумаги. В адсорбент частицы металла переходят в результате диффузии. Для этого он пропитывается реактивом, способным растворить искомый металл, и плотно прижимается к объекту. Так, для обнаружения свинца отфиксированную фотобумагу можно вымачивать в растворе уксусной кислоты, являющейся для него растворителем, а в качестве реактива-проявителя использовать раствор сульфида натрия. Реактивы, используемые для выявления основных металлов выстрела контактно-диффузным методом, приведены в таблице.
Для визуализации копоти выстрела на темных тканях может быть использован так называемый метод проявления. Этот способ состоит в том, что при помощи растворов хлорной извести, гидросульфата, азотной кислоты или перекиси водорода удаляется окраска ткани. После этого на обесцвеченном участке вблизи пулевого повреждения можно наблюдать окопчение.
Из физических методов для определения элементного состава веществ в зоне огнестрельного повреждения применяется эмиссионный спектральный анализ. Этот метод обладает высокой чувствительностью и позволяет устанавливать не только качественный состав копоти, но и процентное содержание входящих в нее элементов. Эмиссионный спектральный анализ основан на регистрации спектров испускания возбужденными атомами вещества строго определенного набора длин волн.
Принадлежность частиц к пороху того или иного типа устанавливается по их форме, окраске, растворимости в воде и продуктам сгорания.
По форме зерна бездымного пороха имеют вид относительно правильных квадратных, прямоугольных и круглых пластинок, полых или сплошных цилиндров, а также могут иметь сферическую форму. Цвет зерен бездымного пороха — зеленый, желто-коричневый, бурый. Цвет зерен графитированного пороха — черный с металлическим блеском.
Зерна бездымного пороха в воде не растворяются, при их сгорании образуются окиси углерода, азота (нитраты и нитриты).
Зерна дымного пороха имеют неправильную угловатую форму. Они бывают блестящего или матового черного цвета, темного и светло-коричневого цвета. В воде зерна дымного пороха распадаются вследствие растворимости селитры, входящей в состав дымного пороха. Дымный порох при сгорании образует углекислый калий, сернистый калий, нитраты, сульфаты и сульфиды, углерод в виде сажи и графита.
Для установления принадлежности обнаруженной частицы к пороху ее проверяют на вспышку, поднося к ней раскаленную иглу, а затем к продуктам горения добавляют раствор дифениламина в концентрированной серной кислоте. При взаимодействии с нитратами, имеющимися в продуктах горения как дымного, так и бездымного пороха, происходит окрашивание раствора в синий цвет. По совокупности результатов термической и химической проб судят о принадлежности частиц к пороху.
Надо учитывать, что голубоватое окрашивание раствора дифениламина получается и при реакции с рядом других соединений, например, с окислами железа. Это может привести к ошибке при установлении природы налета в канале ствола, при решении задачи о производстве выстрела из оружия после последней чистки канала ствола.
Тот факт, что в продуктах сгорания бездымного пороха всегда образуются нитриты (NO2) и не содержатся соединения с серой и калием, характерные для продуктов сгорания дымного пороха, используется для установления типа применявшегося при выстреле пороха по продуктам, остающимся в канале ствола и на преграде.

При таком экспертном исследовании в зависимости от исходной информации возможны три ситуации:
— имеется объект с повреждением и оружие, при выстреле из которого оно было нанесено;
— имеется объект с повреждением и известна модель использованного оружия;
— имеется только объект с повреждением.
Первая ситуация. На стадии раздельного исследования на объекте ищутся повреждения, похожие на огнестрельные. Для них проводятся исследования морфологических признаков (форма, размер, характер краев, наличие или отсутствие «минус ткани»). Если эти признаки указывают на огнестрельный характер повреждения, то в дальнейшем оно служит ориентиром для обнаружения на прилегающих участках копоти, частиц пороха, смазки.
Участок объекта вокруг отверстия исследуется на предмет присутствия окопчения, опаления, частиц пороха и следов смазки. Следует учитывать, что различные загрязнения, кровь или темный цвет объекта маскируют следы дополнительных факторов выстрела.
Для выявления следов дополнительных факторов выстрела используют необходимые методы. После выявления следов дополнительных факторов выстрела проводятся все необходимые измерения зоны окопчения, зоны отложения частиц пороха, устанавливается их топография, интенсивность окопчения, плотность отложения зерен пороха.
На основании выявленного комплекса признаков устанавливается:
— огнестрельный характер повреждения;
— входная и выходная стороны огнестрельного повреждения;
— тип выстрела (в упор, близкий, дальний);
— ориентировочное направление выстрела;
— соответствие калибра использованного оружия и его групповой принадлежности с представленным.
Проводится масштабная фотосъемка объекта со стороны входного повреждения с указанием пулевого повреждения на объекте либо на фотографии.
На этапе предварительного сравнения проводится сопоставление выявленного комплекса признаков со справочными данными о характере отображения следов выстрела на различных дистанциях при выстреле из оружия данной модели. Результаты такого предварительного сравнения во многих случаях позволяют эксперту сузить интервал дистанций, с которых будет производиться экспериментальная стрельба.
Получение экспериментальных образцов. При экспериментальной стрельбе необходимо:
— использовать экспериментальные мишени с физико-химическими свойствами, максимально приближенными к исследуемому объекту;
— использовать патроны, аналогичные используемым на месте происшествия;
— учитывать метеорологические факторы в момент криминального выстрела.
При сравнительном анализе комплекса признаков, установленных при изучении исследуемого объекта и экспериментальных мишеней, решающее значение имеют такие показатели, как размер пятна окопчения, количество частиц пороха на единицу площади и др. На основании проведенного сравнения составляется вывод о дистанции и направлении выстрела, при этом значения дистанции и угла даются в наиболее узких интервалах.
Вторая ситуация отличается тем, что при получении образцов для сравнительного исследования используется оружие соответствующей модели (желательно несколько экземпляров) или сравнение проводят с табличными данными о следах близкого выстрела для этой модели оружия. В качестве границ интервала выбирают предельные дистанции обнаружения соответствующих следов близкого выстрела. Например, известно, что выстрел производился из ПМ и на преграде из следов близкого выстрела обнаружены только внедрившиеся зерна пороха. В этом случае за нижнюю границу интервала возможных дистанций принимается предельное расстояние, на котором возможно отложение копоти при стрельбе из ПМ, а за верхнюю - предельное расстояние, на котором возможно внедрение зерен пороха в преграду, аналогичную исследуемой.
В третьей ситуации определить дистанцию выстрела можно весьма приблизительно. Это связано с тем, что по следам выстрела, как правило, устанавливается достаточно широкий круг моделей оружия, из которых мог быть произведен выстрел. Для каждой из них, пользуясь справочными данными, находится нижняя и верхняя граница интервала возможных дистанций выстрела. В выводах указывается наиболее вероятный интервал, в качестве границ которого выбирается наименьшая нижняя граница и наибольшая верхняя.
Рассмотренная методика основана на сравнении следов выстрела с экспериментальными или справочными данными. Однако такой подход, в общем случае, не позволяет добиться желаемой точности в определении дистанции выстрела. Поэтому разработка новых методов в установлении обстоятельств выстрела является актуальной задачей теории и практики экспертных исследований.